
이번 포스팅에서는 정규분포를 이해하고 활용하는 것에 대해 알아보겠습니다.
정규분포는 통계학에서 가장 대표적인 연속 확률분포이며, 가장 많이 사용됩니다. 정규분의 모양이 종 모양 형태이기 때문에 종형분포라고 불리기도 하며, 가우스분포라고 합니다.
통계조사의 대상이 되는 대부분의 통계자료는 정규분포 또는 정규분포에 근사한 형태입니다.
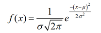
먼저 정규분포의 정의는 다음과 같습니다.
정의
정규분포는 연속확률 분포중 가장 대표적인 형태로 가우스분포라고도 하며, 다음식으로 표현되는 확률분포를 정규분포라 합니다. μ는 평균, σ 는 표준편차를 의미합니다.

정규분포(Normal Distribution)에서 ‘정규(Normal)’ 명칭이 쓰이게 된 이유는 보통 자료의 분포가 정규분포에 가까운 형태를 지니고 있어야 일반적이고, 그렇지 않은 경우에는 자료를 수집하는 과정에 이상이 있다고 생각했기 때문입니다.
정규분포의 유래는 다음과 같습니다.
유래
수학자 가우스가 정규 분포를 발견했는데, 이는 소행성 세레스를 찾기 위해 문제를 푸는 과정이었습니다. 가우스는 세레스 위치의 계산 결과가 실제 위치와 차이가 발생함을 확인하였습니다. 이를 오차라고 하는데, 가우스는 세레스의 위치를 측정한 오차가 정규분포를 따른다고 생각하였습니다.
다음은 정규분포의 특징입니다.
특징
정규분포의 모양은 좌우대칭이며, 확률곡선은 평균치에서 최고점을 가집니다. 곡선 아래의 전체 면적은 1입니다. 곡선은 횡축에 닿는 것처럼 보이나 결코 닿지는 않습니다.
즉, 평균 또는 기댓값보다 매우 크거나 작은 값이 나타날 확률은 작을 수는 있으나 0은 아닙니다. 정규분포곡선은 평균과 표준편차에 따라 다양한 모양을 가질 수 있습니다.
표준편차가 커지면 커질수록 평평한 모양을 취하게 되며, 이와 반대로 표준편차가 작으면 작을수록 봉우리의 높이가 높아지게 됩니다. 또한 표준편차가 같더라도 평균값의 차이에 따라 분포의 위치가 달라지게 됩니다.
다음은 정규분포에서의 확률계산에 대해 알아 보겠습니다.
정규분포에서의 확률계산
정규확률변수의 확률은 정규분포곡선과 횡축 사이의 면적으로 정의되나, 이러한 면적을 계산하기가 용이하지 않기 때문에 사전에 계산해 둔 통계표를 이용합니다.
정규분포함수는 확률변수의 평균과 표준편차에 따라 그 형태가 달라지므로 무수히 많은 통계표가 필요하게 됩니다. 그러나, 다행히 변수 변환을 통해서 하나로 통일할 수가 있습니다. 실제로 계산하고자 하는 확률변수를 Z로 표시한 표준정규확률변수로 변환시킴으로써 손쉽게 계산할 수 있습니다.
마지막으로 정규분포의 활용입니다.
정규분포의 실생활 활용
정규분포는 수집된 DATA의 분포를 근사하여 통계적 성질 추정이나 가설 검증에 자주 사용됩니다. 이는 샘플의 수가 많아질수록 독립적인 확률변수들의 평균이 정규분포에 가까워지는 성질이 있다는 중심 극한의 정리에 기반합니다.
정규분포는 평균과 표준편차를 직접적으로 나타내기 때문에 사회 현상이나 자연 현상 등을 분석하고, 예측하는 데 사용됩니다.
정규분포는 학생들의 시험 점수, 기온 변화, 특정 집단의 키와 체중 등 실생활에서 다양하게 볼 수 있습니다.
예를 들어, 합격자 100명을 뽑는 자격시험을 500명의 응시생이 봤다고 가정하면, 대부분의 응시생들의 점수는 평균 근처에 집중되어 있습니다. 매우 높은 점수나 낮은 점수를 받은 학생들은 소수입니다.
따라서, 평균 근처의 점수를 받았을 경우 운 좋게 찍은 1~2문제가 정답일 경우 합격하는 경우가 있는데, 이런 이유 때문입니다.
또한, 대부분의 응시생이 평균 근처의 점수를 받을 것으로 예측된다면 평균 이상의 점수를 올려 합격하기 위해서는 본인만의 차별화된 전략과 노력이 필요함을 알 수 있습니다.
또한, 비즈니스에서는 매출 금액 분석, 소비자의 소비 패턴 예측, 재고 관리에 대한 최적화 등에 정규분포를 활용할 수 있습니다.
예를 들어 기업의 월별 매출액 데이터를 분석한다고 하면 대부분의 달은 평균적인 수준의 매출액을 보이지만, 가끔씩 매우 높거나 낮은 매출액을 올리는 달도 있습니다.
정규분포를 이해하는 것은 단순하게 수학적 지식과 더불어, 주변 일상과 밀접하게 연결된 현상을 이해하는데 많은 도움이 됩니다. 정규분포를 잘 이해함으로써 고객의 행동을 더 잘 예측하고, 마케팅 전략을 효율적으로 수립할 수 있습니다.
이상으로 정규분포의 이해와 활용에 대해 알아 봤습니다.
감사합니다.
'(1) 통계개념' 카테고리의 다른 글
| 효과적인 자료수집 방법 (0) | 2024.01.20 |
|---|---|
| 표본추출 이해 (1) | 2024.01.15 |
| 통계적 가설검정 의미와 절차 (0) | 2024.01.14 |
| 분산도 종류 및 특징 (0) | 2024.01.13 |
| 중심경향치 종류, 특징, 선택 (0) | 2024.01.13 |